Given a model object, returns a data frame with columns variable, coef (coefficient), ci_lower (lower 95\ ci_upper (upper 95\

gg_fixed(x, intercept = FALSE, ...)

Arguments

x

A model object.

intercept

Logical, indicating whether intercept term should be included. Defaults to FALSE.

...

Currently not used.

See also

Examples

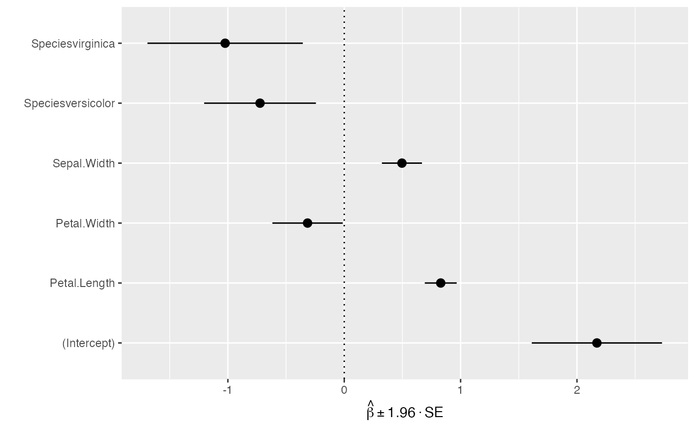
g <- mgcv::gam(Sepal.Length ~ Sepal.Width + Petal.Length + Petal.Width + Species, data=iris) gg_fixed(g, intercept=TRUE)
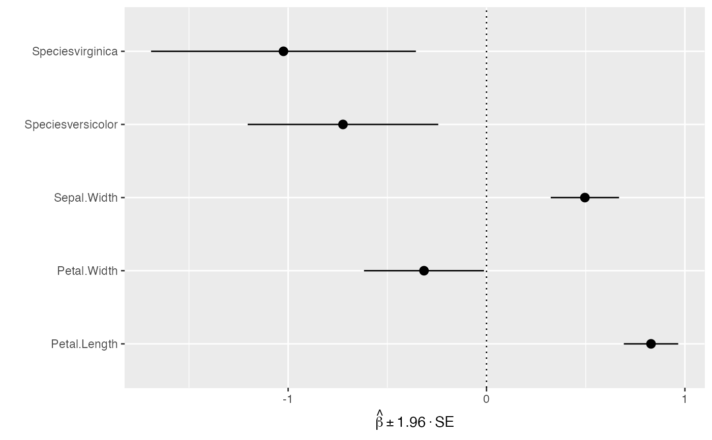
gg_fixed(g)